


Municipal Ordinance No. 1980-025
Read more
Municipal Ordinance No. 1980-028
Read more
Municipal Ordinance No. 1980-029
Read more
Municipal Ordinance No. 1980-024
Read more
Municipal Ordinance No. 1980-026
Read more
Municipal Ordinance No. 1980-035
Read more
Municipal Ordinance No. 1980-027
Read more
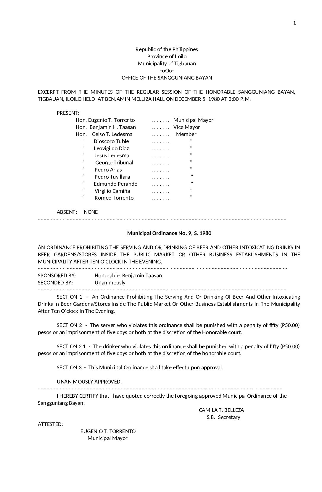
Municipal Ordinance No. 1980-009
Read more


