


Municipal Ordinance No. 1983-003
Read more
Municipal Ordinance No. 1982-002
Read more
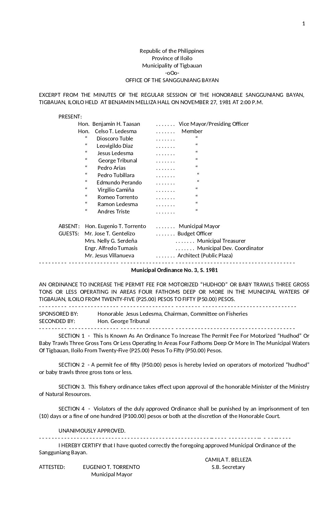
Municipal Ordinance No. 1981-003
Read more
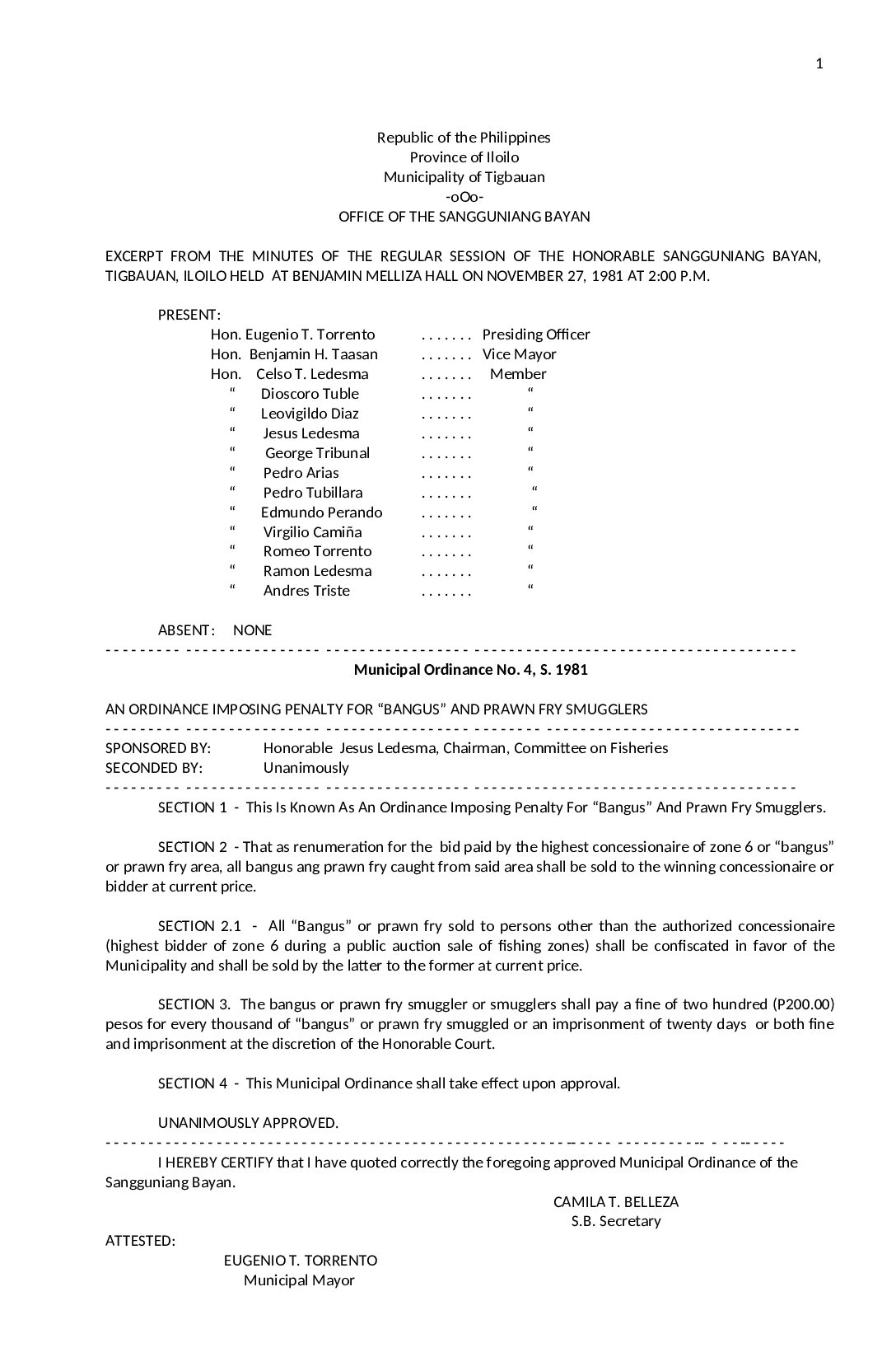
Municipal Ordinance No. 1981-004
Read more
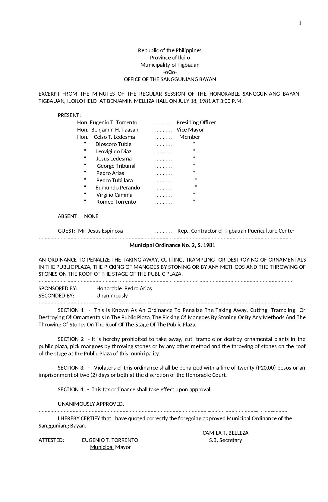
Municipal Ordinance No. 1981-002
Read more
Municipal Ordinance No. 1981-037
Read more
Municipal Ordinance No. 1981-038
Read more
Municipal Ordinance No. 1981-036
Read more


