


Municipal Ordinance No. 96-002
Read more
Municipal Ordinance No. 95-001 – AN ORDINANCE PROHIBITING ANY PERSON TO TAKE A BATH OR CAUSE TO BATHE ANIMALS AND OR WASH THE CLOTHES OR VEHICLES, THINGS AND OTHER WOVEN FABRICS IN THE PREMISES OF THE MUNICIPAL PLAZA OF TIGBAUAN, PROVINCE OF ILOILO.
Read more
Municipal Ordinance No. 96-001
Read more
Municipal Ordinance No. 94-005 – AN ORDINANCE AMENDING SECTION 3, THE PENAL CLAUSE OF MUNICIPAL ORDINANCE NO. 6, S. 1982, AN ORDINANCE PENALIZING ANY PERSON OR PERSONS FOR ACTS THAT WILL DIRECTLY OR INDIRECTLY CAUSE DAMAGE TO THE IRRIGATION FACILITIES OF THE SIBALOM RIVER IRRIGATION SYSTEM OR IN ANY MANNER CAUSE THE UNAUTHORIZED DISRUPTION, DIVERSION OR PREVENTION OF THE FLOW OF WATER FROM THE IRRIGATION CANAL TO THE IRRIGATED LOTS SCHEDULED FOR WATER DELIVERY.
Read more
Municipal Ordinance No. 94-004
Read more
Municipal Ordinance No. 94- 003
Read more
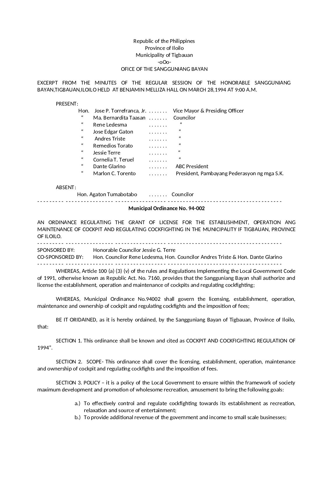
Municipal Ordinance No. 94-002
Read more
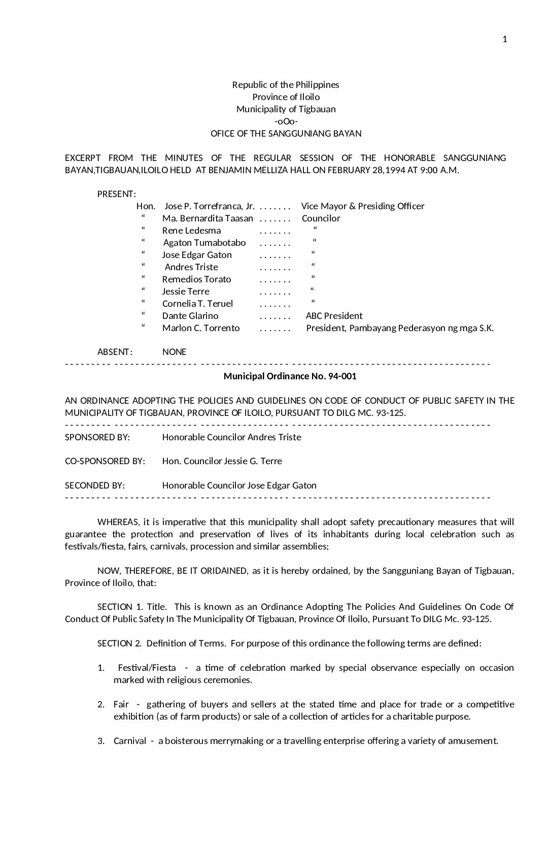
Municipal Ordinance No. 1994-001
Read more


