GovtGovtGovt
  • sbtigbauan@gmail.com
  • Tejero St., Barangay 9 (Pob), Tigbauan, Iloilo, 5021 Philippines
Twitter Facebook Pinterest-p Ovaicon-instagram
  • Home
  • Legislation
    • Commitee Report
    • Ordinance
    • Sb Calendar of Business
    • Resolution
  • Document Library
  • Events
    • Event Calendar
Call anytime
  • (033) 511-8532
Login
  • Home
  • Sangguniang Bayan ng Tigbauan

Sangguniang Bayan ng Tigbauan

  • October 29, 2013
  • Comment off

Municipal Ordinance No. 2013-002

Read more
  • September 27, 1993
  • Comment off

Municipal Ordinance No. 1993-007

Read more
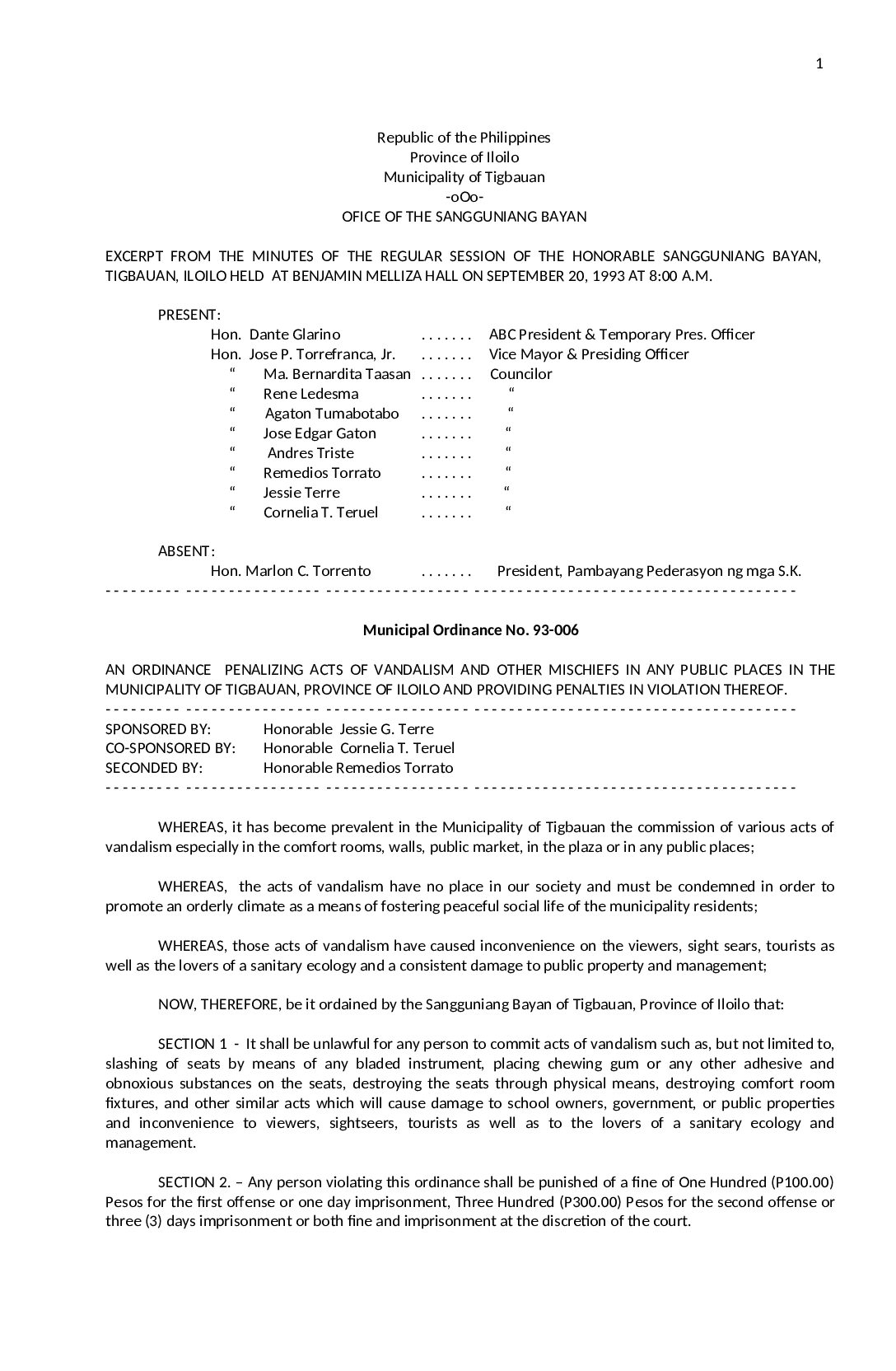
  • September 20, 1993
  • Comment off

Municipal Ordinance No. 1993-006

Read more
  • September 13, 1993
  • Comment off

Resolution No. 93-098

Read more
  • September 13, 1993
  • Comment off

Resolution No. 93-097

Read more
Facebook-f Twitter Instagram Linkedin-in

Contact

  • sbtigbauan@gmail.com
  • (033) 511-8532

Tigbauan, Iloilo, Philippines

“Public Office is a Public Trust. Public Officials must at all times be accountable to the people”

© Copyright 2024 by DigitalWebWizardry

Lost your password?